Business Type:Group corporation
Country/Region:China
Ddu Verified
HOT Rank

Yangtze River Import & Export Co., Ltd.
Seek and strive, protect all sentient beings Adhering to the mission of "seeking progress and protecting all sentient beings", taking "becoming a leading and world-class pharmaceutical and health indu
Business Type:Group corporation
Country/Region:China
Ddu Verified
HOT Rank

Oramid
Roxithromycin Capsules
®
Drug Name Roxithromycin Capsules
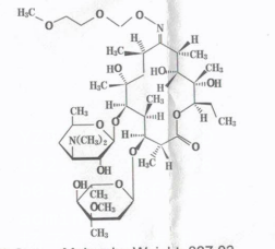
The main composltion of this drug is roxithromycin.The chemical name is 9-O-[(2-methoxyethoxy)metyloxime]erythromycin.
Chemical Structure

Molecular Formula: C41H76N2O15Description
Molecuar Weigit 837.03
The content of roxithromycin capsules is powder or granules with white or off-white color.Pharmacology and Toxicity
Roxithromycin is a sem-synthetic macrolide antibiotic containing 14 lactone ring.t is very simlar incomposition,chemical structure and mechanism of action to erythromycin,azithromycin,orclarithromycin.Roxithromycin has similar antirnicrobial spectrum and antibacterial action aserythromycin,slightly less efect against Gram-positive bacteria than erythromycin,more effect againstLegionella pneumophila than erythromycin,and the antimicroblal effect against Chlamydia pneumoniae,Mycoplasma pneumoniae and Ureaplasma urealylicum are similar or slighly stronger than erythromycin.Roxithromycin can cross the cell membrane of bacteria and prevents bacteria from growing.byinterfering with their prolein synthesis.Roxithromycin binds to the subunit 50S of the bacterial ribosome,and thus inhibits the translocation of peptides.
Pharmacokinetics
After oral administration, roxithromycin is well absorbed, with peak concentration (Cmax) 6.6~7.9g/L.occurring around 2 hours after a single dose of 150mg.Absorption is reduced when taken after,but notRoxithromycin is decomposed by gastric acid fluid and due to high hepatic extractionafter an oral dose.Therefore,the bioavalability cbuld be affected and decreased 50%.It is widelydistribuled in tissues and body fulds,such as tonsil,paranasal sinus,midleear,lung,sputum,prostaticfluid and other urogenital tissues.t can reach the therapeulic concentration in all of these organs andtissues.Protein binding is approximately 96%(blood concentration 2.5mg/L).Small amounts ofroxithromycin are metabolized in theliver,and the majoritly of a dose is excreted in the faeces asunchanged drug and metabolites-about 7 to 12%is axcreted in uine,and up to 15%via the lungs.Theplasma elimination half-ife (tu2)of roxithromycin is approximately 8.4~15.5 hours.indications
1. Roxitromycin is indicated for the treatment of the following infections caused by sensitive strain: (1)upper respiratory tract infeclion (URTI);(2)lower respiratory tract infection (LRTI);(3)ear,nose,throat(EN.T.)infections;(4)urogenital system infection;(5)soft issue infection of skin;(6)pediatrics infection.2.It canalso be indicated for the infections caused by Mycoplasma,Chlamydia and Legionella
Contraindications
It is prohibiled inpabents hypersensitive to roxitromycincapsules.Dosage and AdministrationOral administration in a fasting state.The usual course of treatment is 5~12 days.
Adults: 150mg a time, twice a day; or 300mg a time, once every day;
i018
Children:2.5-5mglkg a time,wice a day,or follow the instructionsof your doctors.
It is important that roxithromycin be taken at least fifteen minutes after meals.This willallow the drug tohave maximum absorption in the body.
Adverse Reactions
There have been very few reports of side effects when being treated with roxithromycin. Possible side
effects of roxithromycin include reaction of gastrointestinal tract (nausea,vomiting,stomachache anddiarrhea).The side reactions and toxicity are much less than erythromycin.Among the allorgic reaclionsobserved are rash,dizziness,headache,leuoopenia and liver disfunction (rise of ALT,AST)have alsobeen reported occasionally.
Precautions
1. It should be used with caution in patients with hepatic inadequacy, blood elimination half-lifeprolonged as more than 2 times of normal people caused by severe cirhosls.If do need take it,150mgonce a day to be administered.
2.It should be used with caution in patients with renal inadoquacy,and slight impaired renal funclionneed not adjust dose.Blood elimination hal-ie prolonged as more than 2 times of normal people
caused by severe kidney impaired function.If do need take it,150mgonce a day to be administered.3.Roxithromycin and erythromycin are cross-resistance.
4.Because of dizziness,danger may occur during driving or operating machine.5.Monilor liver function regularly during the treatment
Pregnancy and Lactation
Women in pregnancy and lactation should use it with caution.Less than 0.05%of administered drug istested in excreted breast milk after oral administration roxilhromycin of 0.3g in single dose.So it shouldbe considered whether nursing mother taking the drug although no significant effect on baby in reportsPedlatric Use
Please take roxithromycin capsules under the requests of instructions.Geriatric Use
Please take roxithromycin capsules under the requests of instructions.Drug Interactions
1. Less effect on the metabolism of theophylline. No effect on the metabolism of carbamazepine.warfarin,ranidine or other antacids basically.
2.Coadministration with disopyramide willincrease is amount of dissociation in blood and increase theside effects of later's.
Overdosage
No further experience is obtained, no specific treatment of overdosage with roxithromycin capsules canbe recommended.
Speciflication150mg
Validity
36 months
Package
Aluminum-plastic blister packaging; 12 capsules each plate, 1 plate each box.Storage
Protect from light and store in well-closed containers in dry places.